서울대병원, 미세갑상선유두암 환자 699명 분석 결과 발표
갑상선 실질 불균일·종양 내 혈류 증가 시 암 진행 위험 상승
종양이 1cm보다 작은 ‘미세갑상선유두암’은 예후가 좋아 수술 대신 적극적 추적 관찰만 하기도 하는데, 초음파에서 갑상선 실질이 불균일하거나 종양 내 혈류량이 증가한 경우엔 암 진행 위험이 높을 수 있다는 사실이 확인돼 관심이 집중된다.
서울대병원은 영상의학과 김지훈·이지예 교수와 내분비대사내과 박영주 교수 연구팀이 서울대병원·분당서울대병원·국립암센터 다기관 전향 코호트에 등록된 미세갑상선유두암 환자를 대상으로 초음파검사 소견과 종양 진행 위험의 연관성을 분석한 결과에서 이같이 확인됐다고 22일 발표했다.
갑상선암은 2020년 국내 암 발생률 1위를 차지한 흔한 암종이다. 80~90%는 암세포 분화도가 높은 갑상선유두암에 속하는데, 그중 종양이 1cm보다 작은 ‘미세갑상선유두암’은 진행 속도가 느리고 사망률이 매우 낮다.
따라서 국내외 갑상선학회는 수술 대신 초음파검사 등을 통한 적극적 관찰을 고려할 수 있다고 규정했으며, 실제로 이를 선택하는 환자들이 증가하고 있다. 적극적 관찰이 환자에게 적합한지 평가하려면 종양의 장기 예후·진행 속도를 예측하는 것이 중요한데, 이제껏 미세갑상선유두암의 위험인자는 명확히 밝혀진 바 없었다.
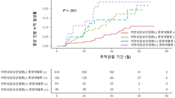
연구팀은 적극적 관찰의 일환으로 2회 이상 초음파검사를 받은 미세갑상선유두암 환자 699명을 평균 41개월간 추적 관찰해 초음파 소견과 종양 진행의 연관성을 분석했다. 종양 진행은 종양 크기 증가, 갑상선외 조직 침범, 림프절 전이 여부로 평가했다.
그 결과, ‘미만성 갑상선질환’, ‘종양내 혈류 증가’ 2가지 초음파 소견이 종양 진행과 독립적으로 연관된 것으로 나타났다. 미만성 갑상선질환은 초음파상 갑상선 실질이 불균일하게 보이거나 혈류가 전반적으로 증가된 상태를 말한다.
추적 관찰 4년 차, 2가지 초음파 소견이 동시에 보인 환자의 종양 진행률은 21%(48명 중 10명)였다. 반면, 이 소견이 없는 환자의 종양 진행률은 6%(418명 중 25명)에 그쳤다.
위험 분석 결과, 미만성 갑상선질환 및 종양내 혈류 증가 소견이 없는 환자에 비해 1가지 소견만 보인 환자는 종양 진행 위험이 2.2배 높았다. 반면 2가지 소견이 동시에 보인 환자는 종양 진행 위험이 3.5배까지 높았다.
특히 ‘미만성 갑상선질환’ 소견이 있으면 그렇지 않은 환자보다 종양 크기 증가 위험이 2.7배 높았고, ‘종양내 혈류 증가’ 소견이 있으면 림프절 전이 위험이 약 5배로 상승했다.
연구팀은 "미세갑상선유두암 종양 진행과 연관된 초음파 소견을 고려함으로써 적극적 관찰의 적합성과 진행 가능성 평가에 대한 정확도를 향상할 수 있다"고 강조했다.
그 밖에 30세 미만의 젊은 나이, 남성, 갑상선자극호르몬(TSH) 증가 등의 임상 특성도 미세갑상선유두암의 빠른 진행과 연관된 것으로 나타났다.
김지훈 교수는 “미세갑상선유두암에 대해 적극적 관찰을 실시할 때, 환자의 임상적 특성이나 초음파 소견을 함께 평가한다면 맞춤형 종양 진행 감시가 가능할 것”이라며 “추가적으로 장기적인 추적 자료를 통한 결과 검증이 필요하다”고 말했다.
관련기사
- 초등학교 입학 전후 나타나는 '근시', 드림렌즈만이 답이 아니다
- 다제내성결핵 치료기간 줄인다…학회, 20개월→9개월 단기치료 권고
- 아이에겐 류마티스관절염 없다?…소아류마티스관절염의 오해와 진실
- 살짝 주저앉았는데 척추뼈가 ‘우르르’…단순 통증 아닌 ‘척추압박골절’
- 라식‧라섹 등 시력교정술 받으면 ‘노안’ 빨리 온다?…“NO”
- 진료과다·초저출산·저수가·고임금에 소아과 경영 악화…"제도 개선을”
- 오경고 잦은 인공지능 대장내시경검사에 '양치기소년 효과' 나타나
- 국내 '섬유근육통' 발생률 매년 2.3%↑…"조기 치료 토대 마련 필요"
- “항생제 내성 증가한 한국서 폐렴구균 백신 예방 必”
- 임신‧출산‧폐경에 고장나는 여성 몸…60세 이후 ‘골반장기탈출증’ 급증
- 면역항암제 '테빔브라', 진행성·전이성 식도암 신약으로 국내 허가
- [칼럼] 정확한 유병률조차 알지 못하는 희귀질환 ‘종양성 골연화증’
- 빈대 물린 뒤 전신 알레르기 반응…시원한 보습제도 도움돼
- 여성 당뇨환자, 생리 기간 길수록 중증저혈당 위험 낮아
- 치료성적 낮은 '담낭암'…담석·담낭용종·담낭염 적극적 치료 필요
- 충남대병원 대전지역암센터 통합 성과보고회 성료
- 5080 한국인 16% ‘렘수면행동장애 전 단계’…치매·파킨슨병 등 위험↑
- 간암선별검사로 알파태아단백 불필요?…"간암 생존율 높이는데 도움돼"
- 마라톤과 같은 당뇨병 관리…'이 책' 한권만 있으면 완주 가능
- 난청 유발 희귀질환 '아가미-귀-콩팥증후군', 청력수술 승패 요인 찾았다
- 수급불안정 소아 천식·기관지염 치료제, 내달부터 약가 인상

